GPT-5 es el último modelo de lenguaje insignia de OpenAI, presentado como un sistema de razonamiento unificado y multimodal que mejora las generaciones anteriores en razonamiento, codificación, comprensión de contexto largo e salidas conscientes de la seguridadCombina componentes rápidos de no razonamiento con un modelo de razonamiento más profundo y un enrutador en tiempo real que selecciona el mejor submodelo para una tarea, lo que permite al sistema saber cuándo pensar.
Características básicas
- Multimodalidad y herramientas::GPT-5 acepta texto e imágenes (y está diseñado para funcionar con herramientas externas y agentes/navegadores cuando esté permitido), y OpenAI destaca mejoras voz, interfaz de usuario, conectores integrados (por ejemplo, Gmail/Calendario) y flujos de trabajo agentes.
- Ventana de contexto ampliada: Soporta hasta Tokens 1,000,000, lo que permite documentos, bases de código o historiales de conversaciones mucho más extensos.
- Contexto y límites: Ventana de contexto con un total de 400 XNUMX tokens (dividido implícitamente entre entrada y salida, con divisiones típicas como ~272K de entrada + 128K de salida)
Técnico Arquitectura
GPT-5 es un sistema unificado compuesto de:
- A fast modelo de no razonamiento para consultas rutinarias.
- A razonamiento profundo variante (“GPT-5 Thinking”) para problemas complejos.
- A enrutador en tiempo real que selecciona dinámicamente la ruta óptima en función de la complejidad del mensaje, los requisitos de la herramienta y la intención del usuario.
Este diseño aprovecha cálculo en tiempo de prueba paralelo Para GPT-5 Pro, garantizando que las tareas de alto riesgo reciban el máximo provecho exhaustivo procesamiento disponible.
Rendimiento
- Codificación: Logra 74.9% en SWE-Bench Verified, superando los modelos anteriores en más de 5 puntos porcentuales y utilizando 22% menos tokens y 45% menos de llamadas de herramientas que su predecesor.
- Salud: Puntuaciones 46.2% en HealthBench Hard, demostrando ganancias significativas en razonamiento médico y orientación centrada en el paciente.
- FactibilidadAproximadamente 80% menos de alucinaciones en modo “pensamiento” en comparación con OpenAI o3, y 45% menos errores factuales en el modo de chat estándar en relación con GPT-4o.
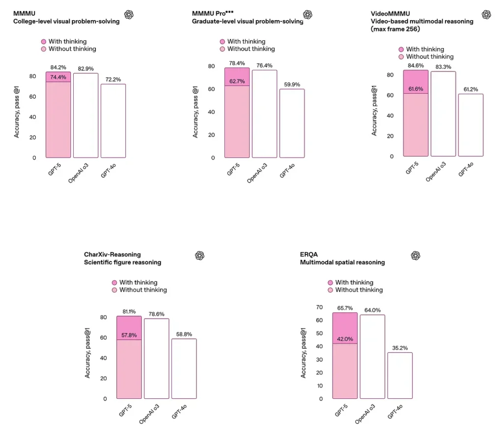
- Multimodal:Se destaca en el análisis de textos, imágenes y vídeos, mejorando el razonamiento y la percepción visual.
- Escritura:Capta el ritmo literario y las estructuras matizadas como el verso libre o los versos yámbicos de manera más confiable.

Versiones del modelo
| Versión | Proposito | Costo |
|---|---|---|
| GPT-5 | Modelo unificado predeterminado | Tokens de entrada: 1.00 Tokens de salida: 8.00 |
| gpt-5-2025-08-07 | Rendimiento igual a gpt-5 | Tokens de entrada: 1.00 Tokens de salida: 8.00 |
| gpt-5-chat-último | GPT-5 Chat apunta a la instantánea GPT-5 que se utiliza actualmente en ChatGPT. GPT-5 es nuestro modelo insignia de próxima generación y alta inteligencia. | Tokens de entrada: 1.00 Tokens de salida: 8.00 |
Limitaciones
- No AGI:Si bien es un gran avance, GPT-5 aún carece de... aprendizaje continuo y auto-mejora fuera de los ciclos de reentrenamiento.
- Alucinaciones restantes:A pesar de la reducción, fuentes verificadas Se recomiendan para decisiones críticas.
- Cálculo y coste:Los modos de alto rendimiento (Pro, Pensamiento) incurren tarifas de token significativas y requieren cuidado administración de presupuesto.
Como llamar gpt-5 API de CometAPI
gpt-5 Precios de API en CometAPI: 20 % de descuento sobre el precio oficial.
| Tokens de entrada | $1 |
| Fichas de salida | $8 |
- gpt-5-mínimo
- gpt-5-bajo
- gpt-5-medio
Pasos requeridos
- Inicia sesión en cometapi.comSi aún no eres nuestro usuario, por favor regístrate primero.
- Obtenga la clave API de credenciales de acceso de la interfaz. Haga clic en "Agregar token" en el token API del centro personal, obtenga la clave del token: sk-xxxxx y envíe.
- Obtenga la URL de este sitio: https://api.cometapi.com/
Método de uso
- Seleccione la opción "
gpt-5"/"gpt-5-2025-08-07"/"gpt-5-chat-latestPunto final para enviar la solicitud de API y configurar el cuerpo de la solicitud. El método y el cuerpo de la solicitud se obtienen de la documentación de la API de nuestro sitio web. Nuestro sitio web también ofrece la prueba de Apifox para su comodidad. - Reemplazar con su clave CometAPI real de su cuenta.
- Inserte su pregunta o solicitud en el campo de contenido: esto es lo que responderá el modelo.
- . Procesa la respuesta de la API para obtener la respuesta generada.
CometAPI proporciona una API REST totalmente compatible para una migración fluida. Detalles clave para Documento API:
- Parámetros centrales:
prompt,max_tokens_to_sample,temperature,stop_sequences - Punto final: https://api.cometapi.com/v1/responses
- Parámetro del modelo: "
gpt-5"/"gpt-5-2025-08-07"/"gpt-5-chat-latest" - Autenticación:
Bearer YOUR_CometAPI_API_KEY - Tipo de contenido:
application/json.
Instrucciones de llamada a la API: gpt-5-chat-latest debe llamarse utilizando el estándar /v1/chat/completions format. Para otros modelos (gpt-5, gpt-5-mini, gpt-5-nano y sus versiones anteriores), utilizando the /v1/responses format es recomendadoActualmente hay dos modos disponibles.
Vea también GPT-5 mini Modelo



